Community Tip - Did you get called away in the middle of writing a post? Don't worry you can find your unfinished post later in the Drafts section of your profile page. X
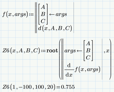
When using the root function of Mathcad with more than two parameters, an error occurs. It seems to be a bug. Does anyone have a solution? A simplified example of this issue is printed and attached as an mcdx file. In the original Mathcad sheet where I found this error, this function is used in an advanced routine with parameters in arrays and with dimensions. This function worked fine in previous versions of Mathcad.
I can confirm that you once again found a severe bug in Prime 10!
Prime 10 had a few more 'improvements" and so it simulates that development would now run a little bit faster than before. But the price seems to be a lot of newly introduced bad bugs in Prime 10 😞
So its one more for you to report to PTC Support or maybe @DJNewman would be willing to do so (unless he once again finds a hidden entry in the doc which 'explains' that sure undesired behaviour 😉 )
My first guess was about variables being wrong labelled, but this was not the case.
Then I thought of a new limitation in the root function and tried to define the derivative to an extra variable, But it soon showed that Prime 10 simply(?) has problems with functions of more arguments.
The examples show that its not a problem with the root function and not a problem with the derivative.
Here is an awkward workaround - can't think of anything better at the moment
EDIT: Found a much simpler workaround:
Prime 10 file attached
This workaround works well for the given example.
However, this is only possible when you have access to the area of the sheet.
As already written, this is a bad bug in Prime. The only one that could fix it is PTC.
A workaround could only be provided for the specific example you posted and sure needed to change the definition of the Z-function..
Its not clear to me what you mean by "having access to the area of the sheet" ??
If the calculation is in a protected area which you can't edit, you may be able to retype all the calculations afterwards. If the area is additionally collapsed and you don't see which calculations are done, then you sure are lost when using a faulty software version like Prime 10 and you may consider using this third party worksheet with Prime 9 instead (you can have various versions of Prime installed in parallel).
If Prime 9 is not installed and you neither have access to the worksheet nor to the computer because its managed by your companies IT, then I guess you are lost.
