Community Tip - Learn all about PTC Community Badges. Engage with PTC and see how many you can earn! X
Hello,
I'm finishing my master thesis and to get the results I have to make a new version of my advisor's old work, but I'm getting a lot of erros, someone can help me to fix? in annex are two files, one in word and one in mcdx.
PLEASE I'M ALMOST LOSING MY CHANCE.
Solved! Go to Solution.
Hi,
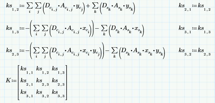
Your error is in naming the calculation of matrix K elements as k. This overwrites the value of k defined earlier as 0..3.
I simply renamed the elements of K as ks not k
.
Enclosed is Prime 5. If you are using Prime 4 let me know and I will back save using Valery's utility.
Cheers
Terry
Considering you have a license to use Prime 5, you are also licensed to install and use Mathcad 15, using the very same license file.
If you are in a hurry, I'd advise you to use, the original sheet from your advisor and mathcad 15 to implement the changes you intend to make and use it further. Finding out all you need to do to make this sheet work in Prime can be a (too) big effort.
Boa sorte!
Luc
My advisor don't have the original one anymore, actually i'm having problems at this point:
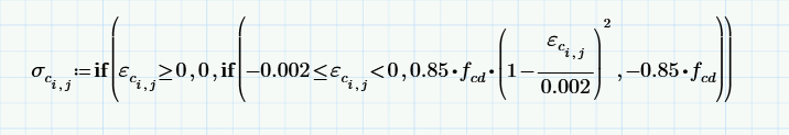
I'm getting a 1x1 matrix instead of vector of values based on the elseif formula.
Any hint?
You have a square bracket in your calculation - which mathcad only sees as a matrix. Replace with parathesis. That gets you a 1x100 matrix result. Also you have a zero you don't want in front of the programming bar.
Not sure what result you really want. I suspect you're after a 2D matrix. I'd have written something like this.
Assuming you have ranges defined for i and j, try this; it works in any version an edition of Prime:
Success!
Luc
Hi,
Your error is in naming the calculation of matrix K elements as k. This overwrites the value of k defined earlier as 0..3.
I simply renamed the elements of K as ks not k
.
Enclosed is Prime 5. If you are using Prime 4 let me know and I will back save using Valery's utility.
Cheers
Terry
"If you are using Prime 4 let me know and I will back save using Valery's utility."
Success!
Luc
