Community Tip - When posting, your subject should be specific and summarize your question. Here are some additional tips on asking a great question. X
Mathcad 11 / Maple:
Luc
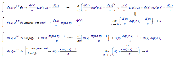
Looks like Maple in MC11 ignores the possibility of a being zero. In this case the result of Maple in MC11 is wrong!
Admittedly MC15's answer without this specific "assume" is wrong in the same sense, too 🙂
Maybe it's not so wrong...
Note that the taylor-series of exp(a*x) is 1+ a*x+a^2*x^2/2+...
so in (exp(a*x)-1)/a, the 1 is subtracted out by -1,the next term divided by a leaves x, and the following terms all become 0 when a=0.
Luc
@LucMeekes wrote:
Maybe it's not so wrong...
Not so, yes, but its still problematic to write a division by "a" without stating that "a" does not equal zero.
I would have expected to see some kind of if-statement as we see it from Mathcad/muPAd/Maple on many other occasions, too.
So again we learn that Mathcad and its symbolics by far is not perfect - not even MC11 & Maple 😉
