Community Tip - Did you get an answer that solved your problem? Please mark it as an Accepted Solution so others with the same problem can find the answer easily. X
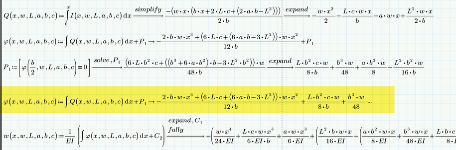
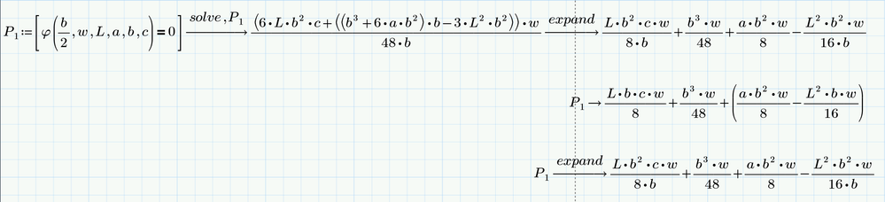
Why mathcad does not expand the term fully in symbolic? AM I doing something wrong? P1 does not expand in subsequent equation how to make that happen?
Solved! Go to Solution.
I see.
The last line uses the P1 in the first definition of function phi and here P1 still was an undefined variable.
One way to deal with the problem is to redefine function phi after you calculated P1
But the better way IMHO is to add P1 as an additional argument of function phi
I am not sure what the problem is??
The parenthesis in the second expression are silly, but, alas, thats the way PTC has created Prime.
Its also not understandable why b is not cancelled when using "expand"
In the last equation it has the term P! instead i want to use the expanded term how can I do that?
I see.
The last line uses the P1 in the first definition of function phi and here P1 still was an undefined variable.
One way to deal with the problem is to redefine function phi after you calculated P1
But the better way IMHO is to add P1 as an additional argument of function phi
