Question
Fourier Amplitude Spectrum
- July 14, 2021
- 9 replies
- 11923 views
Hello all,
I need help please with fourier analysis and the following problem:
- I can create my periodical time-signal f(t). --> Please see 1) and 2) in the attached file
- I also found the mathcad example from help menu for fourier analysis for calculating the fourier coefficients and plotting the graph. --> Please see 3a) in the attached file
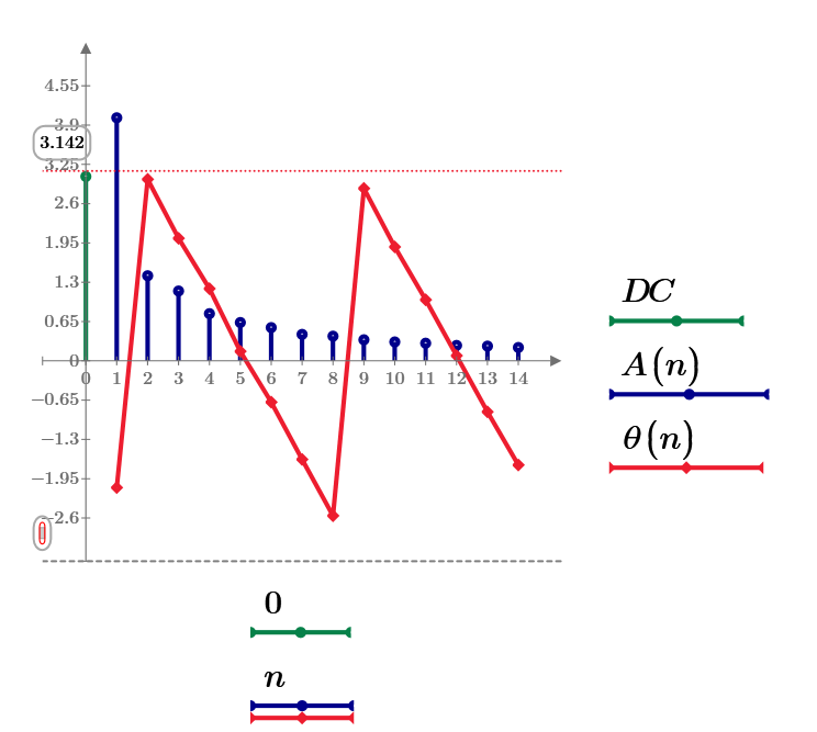
- 1) For the following step I need a spectral analysis, means I need the amplitude spectrum and ideally a plot like this :

- 2) Afterwards I want to multiply the amplitude spectrum with an given impedance Z(s) to obtain the output voltage ripple
I hope you can help,
thanks in advance

