Community Tip - Did you get called away in the middle of writing a post? Don't worry you can find your unfinished post later in the Drafts section of your profile page. X
I have a set of 4 equations which are used to determine the relation between Bèta and Delta_L.
Now I have to generate a list of values for alpha and through x2' and beta + y2' I am able to calculate Delta_L. For any value of Delta_L I then need to interpolate to get to the approximate solution. I would however prefer to have a direct correlation between Delta_L and Bèta without alpha (if possible of course). Thought the symbolic engine might be able to help but to be honest it's been a while since I last used it so I'm stuck.
I have attached the formulas in the attached calculation sheet.
Any help is kindly appreciated.
Solved! Go to Solution.
So here is the worksheet with the functions made dependable on r and L3 and also using L2=L3+r as you amended
Hi,
Here is my engineering accuracy solution.
Cheers
Terry
Hello Terry,
thanks a lot for your solution.
I did forget to mention that we want to be able to alter "r" as well. Your solution does make it possible to generate a formula for any different value but ideally we would have a plc programmable equation that makes it possible to calculate D_L for any given value of b (within 0 to p/2 range) and r (within 50 to 85 range).
Like I said before, no idea whether that's even possible or not.
Found out by altering the "r" in your sheet that I had missed another relation: L2=L3+r
I replaced L2 in all formulas now by L3+r so it's no longer a variable
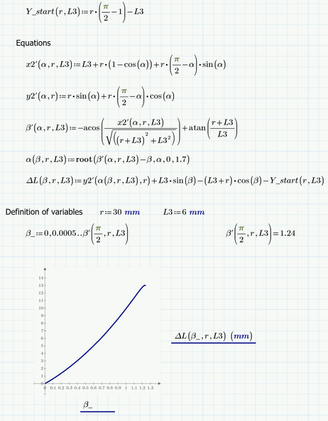
The symbolic was not of much help in finding a alpha for any given beta.
Fortunately a numeric approach using a solve block or the root function is all that is needed.
Here is DeltaL as a function of beta:
Of course you can make all functions also dependable of the three input values r, L2 and L3 for more flexibility, as Terry had shown in his approach.
So here is the worksheet with the functions made dependable on r and L3 and also using L2=L3+r as you amended
