Community Tip - Visit the PTCooler (the community lounge) to get to know your fellow community members and check out some of Dale's Friday Humor posts! X
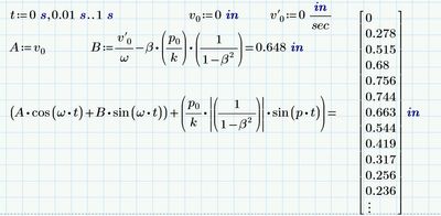
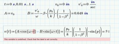
I am trying to plot a function in respect to a defined domain. However, the function states that domain variable is undefined. I do get discrete values when I remove the label for the function I do get a set of discrete values. I feel like my issue is syntax, what am I doing wrong?
Solved! Go to Solution.
Whenever possible attach the worksheets, not just pictures. Its hard to debug a picture.
Even though that in your case the reason for the error seems to be clear even from the picture. Simply delete the equal sign after the definition of the function v(t).
You can't evaluate a function definition, you just can use it.
If you then type f(t)= in a separate region you will see what you expect.
BTW, its not necessary to define the range t before the function definition as it has no effect there anyway. It suffices if you define it in front of the plot you a trying to create.
Whenever possible attach the worksheets, not just pictures. Its hard to debug a picture.
Even though that in your case the reason for the error seems to be clear even from the picture. Simply delete the equal sign after the definition of the function v(t).
You can't evaluate a function definition, you just can use it.
If you then type f(t)= in a separate region you will see what you expect.
BTW, its not necessary to define the range t before the function definition as it has no effect there anyway. It suffices if you define it in front of the plot you a trying to create.
Understood on posting the worksheet. I will ensure to do that next time.
Your explanation worked, thank you for your quick response. Also understood on the time definition. My plot was not captured on the screen shot, but I appreciate the information regarding it being unnecessary.
