Community Tip - Have a PTC product question you need answered fast? Chances are someone has asked it before. Learn about the community search. X
Hi all,
I am trying to perform a 4 parameter logistic regression using genfit on a data set in Mathcad prime 4.0. I already have done this regression online, so I know what my guess values should be. I just want it for Mathcad workflow. Unfortunately, I am getting a real number error, even with close guess values. Is there any way to see the domain of these guesses? I hope this isn't a rendundant question to the site, and I've attached my document to look at.
Thanks a ton in advance!
(picture if needed)
Solved! Go to Solution.
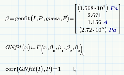
Your guesses for a and d are missing the factor 10^5
EDIT: Ooops, Terry was much faster 😉 Had not noticed Terry's reply until I posted mine.
EDIT2: Interestingly, NOT providing the vector F with the derivatives and just using the plain function f, seems to give an even slightly better fit
Hi,
Simply use better guesses with MPa not Pa
Prime 9 file only
Cheers
Terry
Terry,
Thank you so much! That's a quick and easy fix.
All the best
Your guesses for a and d are missing the factor 10^5
EDIT: Ooops, Terry was much faster 😉 Had not noticed Terry's reply until I posted mine.
EDIT2: Interestingly, NOT providing the vector F with the derivatives and just using the plain function f, seems to give an even slightly better fit
Just an additional remark. You may also use a solve block with minerr to get your parameters. Usually its less sensible wrt the guess values, but using your initial guesses it does not fails but returns useless results.
Given good guesses the result is pretty good, too:
Thank you so much!! That is so very helpful!!
All the best
