Community Tip - Did you get called away in the middle of writing a post? Don't worry you can find your unfinished post later in the Drafts section of your profile page. X
I'm trying so solve an implicit differentiation example but I keep getting bad solve variable error
This is my example:
x^2+y^2=25
Solved! Go to Solution.
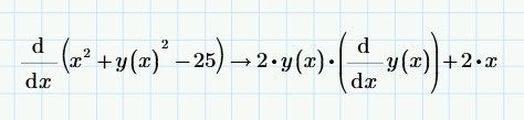
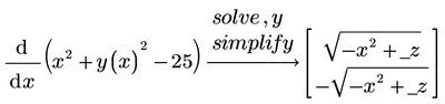
Could it be that you are either looking for this
or this
or are you really looking for an explicit expression for y'(x)
The 'simplify' modifier isn't necessary in case of this expression and was just used out of habit.
And of course you also can omit the "-25" because the derivative of a constant is zero anyway.
Hi,
Hi,
I used it as an example to be able to do implicit differentiation for a simple equation. I was able to get the answer you got but I would like to solve for y' or dy/dx. I have a more complicated equation that I need to differentiate.
Could it be that you are either looking for this
or this
or are you really looking for an explicit expression for y'(x)
The 'simplify' modifier isn't necessary in case of this expression and was just used out of habit.
And of course you also can omit the "-25" because the derivative of a constant is zero anyway.
The third option is what I was looking for. Thanks!
