Community Tip - Did you get an answer that solved your problem? Please mark it as an Accepted Solution so others with the same problem can find the answer easily. X
Hi
I would like to solve a differential equation for a set of variables. I hope I have clarified my problem in the attached file (prime 7), otherwise just let me know.
All help is very appreciated! Thank you 🙂
Solved! Go to Solution.
Hi,
Like this
Have Prime 10 so cannot save the file as Prime 7
@ksk_10594232 wrote:
Hi
I would like to solve a differential equation for a set of variables. I hope I have clarified my problem in the attached file (prime 7), otherwise just let me know. 🙂
I can't see any differential equation. In a differential equation you have an equation which uses a function and its derivative(s) and you are looking for the function. In your case you are just looking for a simple scalar value N. So its an ordinary equation you can solve using Primes numeric methods (= root-function or a solve block with 'find').
I would prefer to set up the whole calculation to be dependent on N and y, define a function which gets the value of N for a given value of y and only then at the end define the vector of y-values and call that function vectorized to get all five results.
So you should leave the functions alpha.p and Phi.p being functions and not redefine them to be simply variables with a vector content.
Once you have a function which calculates N for any given y, you may also plot the function over a certain range of y-values.
I noticed that there is a gap from approx. y=130.7 mm to 131.3 mm where no solution could be found. Have not investigated further as to where this may come from. If its an issue come back and ask again.
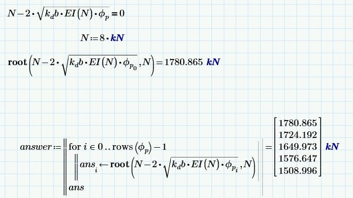
Have no Prime 7, so the attached file is in Prime 10 format. But the picture shows it all, so you should be able to duplicate it.
Thanks to both of you for a quick response! That helped me a lot ❤️
Couldn't resist ...
I defined the function you are looking for the zero of and defined it to be dependent on N and y.
The way you defined the function(s) using various if-statements cause a jump in that function.
For values in the aforementioned range for y this jump is at a position so it jumps from a negative to a positive value. So in these cases there is no zero which could be found.
See the plot below for y=120 mm where the zero is clearly defined at approx N=1.283 MN and compare it to the plot for y=135 mm, where no zero can be found as the plot jumps directly from about -24 kN up to +17 kN.
