Community Tip - Did you get called away in the middle of writing a post? Don't worry you can find your unfinished post later in the Drafts section of your profile page. X
Hello PTC community,
Greetings,
I would like to d K(fx)/dfx=0 and find fx value. How can I do that?
I have attached file also for reference.
Thanks in advance.
Regards
UV
Hi Cornel,
Thank you for your time and response. It means a lot.
Regards
Utham
As Cornel already had shown, you may use the symbolic "solve" to get all solutions.
In case you are only interested in real valued solutions, you may use an appropriate "assume" modifier:
Or if you are interested in the positive solution only, you may use
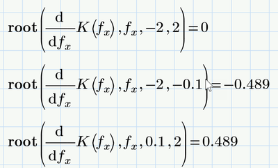
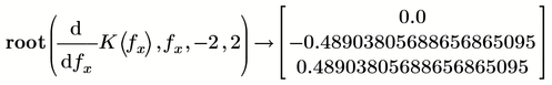
Apart from the symbolic "solve" you can also use a solve block with "find" or the "root" function.
If you evaluate symbolically, you will get all (real valued) solutions
If you evaluate numerically, you get just one solution depending on the interval you provide
Hi Werner,
Yes, exactly I was looking at real value. thanks for the keyword suggestion.
Regards,
Utham
