Community Tip - Did you get an answer that solved your problem? Please mark it as an Accepted Solution so others with the same problem can find the answer easily. X
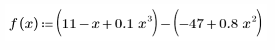
How do I get Mathcad to get from this:
to this:
without having to redefine f(x) myself?
You may use symbolic evaluation to get an expanded view of the expression but I guess you wont get the summands in the order you show. Unfortunately, Prime does not offer many options to control the way the Symbolics displays its results.
Because you use the decimal point in your expression, the symbolics switch to some kind of float mode and ALL numbers are displayed with at least one decimal, which is quite silly and looks ugly.
The last result with the modifier "factor" is strange. The factor 1.0 actually should not be shown. It even may be called a bug that Prime does this.
For future questions please keep in mind to always attach you worksheet as well.
@AP_12953245 please keep in mind that Mathcad will not "redefine" f(x) for you in any way. The methods described by Werner are only only intended to 'display' the result of the symbolic manipulation of expanding and collecting terms, and is very useful in validating your work or simplifying formulas you are trying to derive. Since your formula is still technically valid in either form, there is no reason to redefine the function anyway—your original definition of f(x) will give you the correct output regardless. Does this make sense?
I agree that there is no reason for redefining the function based on the symbolic simplification.
I could be done that way
and indeed evaluation should be a little bit faster as the calculation 11+47 has not to be done every time you evaluate the function. But I doubt that this decrease of calc time would be noticeable - not even when done million times.
A redefinition would make sense if the original function definition is extremely time consuming and could be simplified symbolically - e.g. when using integrals as numerical integration is rather time consuming.
Here an example with a double integration. The non-simplified function definition takes more than 100 times longer:
Doing the same with the function given here does not show a significant improvement as expected
How about:
Success!
Luc
