Community Tip - Need to share some code when posting a question or reply? Make sure to use the "Insert code sample" menu option. Learn more! X
I want to solve the following equation at the bottom and get T_react/T_com on one side and the rest on the other side. Is there a way to rearrange the equation like that?
I am using Version 10.0.1.0
Solved! Go to Solution.
Welcome to the forum.
You should attach your worksheet and state which version of Prime you are using.
To answer your question:
Solve for the two variables (make sure you have two independent equations then), or define a single variable e.g. Tratio, and solve for that.
Note that the solve you display doesn't work because Treact and Tcom are not part of the equation Tmot-Tfrict.
If you want to use something like this, you have to define Tmot and Tfrict as functions of Treact and Tcom (and that ripples through to the beginning of your definitions.
Success!
Luc
Thanks for the reply. I added the worksheet with the MathCAD Prime Version 10.0.1.0.
I tried implementing your solution, but I don't fully understand what you mean. I used Tratio as a variable for Tmot and Tfrict and tried to solve Tmot-Tfrict for Tratio, which isn't working,
You defined Tmot(Tratio) , but Tratio does not appear to the right of the definition symbol, so it is actually not a function of Tratio.
You have more work to do. I think you would be better off with two equations, like this:
Note that I would rather do this like:
But I cannot decide what the right equations would be for your problem.
Success!
Luc
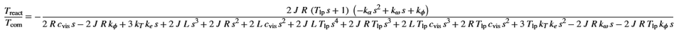
It seems like I didn't ask my question the right way. The shape of the solution I want is the following:
So the term Treact=Tmot-Tcom rearranged as a transfer function for a control loop.
With two equations I would get two solutions (Tcom and Treact), which isnt my goal. Or am I misinterpreting your answer?
Thanks alot, that is exactly what I wanted!
