Community Tip - Did you get an answer that solved your problem? Please mark it as an Accepted Solution so others with the same problem can find the answer easily. X
I have this formula but some time the expression is divided by zero . How to disregard this warning ?
Solved! Go to Solution.
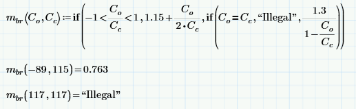
You CANNOT ignore the division by zero situation because mathematically it makes no sense to divide by zero.
Essentially you should catch this exception before it occurs. So next to checking if the ratio of Co and Cc is between -1 and 1, you should include a test that Co and Cc should not be equal.
Be sure to provide proper answer(s) for you program in case the exception(s) occur.
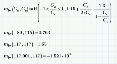
But maybe it's simpler to do just:
Change the second 'less than' into a 'less then or equal'.
Success!
Luc
Use please the try operator (on error in Mathcad 15)
You CANNOT ignore the division by zero situation because mathematically it makes no sense to divide by zero.
Essentially you should catch this exception before it occurs. So next to checking if the ratio of Co and Cc is between -1 and 1, you should include a test that Co and Cc should not be equal.
Be sure to provide proper answer(s) for you program in case the exception(s) occur.
But maybe it's simpler to do just:
Change the second 'less than' into a 'less then or equal'.
Success!
Luc
This one works ......
Thank you
Actually I am expecting this result . It happened only when I include + 1 as I marked in yellow color
Ah, but 1 - Co/Cc + 1 = 2 - Co/Cc.
Then you don't have a problem when Co=Cc, but only when Co=2*Cc.
Luc
