Community Tip - Visit the PTCooler (the community lounge) to get to know your fellow community members and check out some of Dale's Friday Humor posts! X
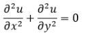
Hihis might sound trivial but can someone help input a partial differential equation(PDE) like the one in the image?
Regards
Raghu
Solved! Go to Solution.
But what do you want to achieve further? Or did you just want to know how to write a partial differential equation/symbol in Mathcad?
I am trying to learn the software and was trying to solve some partial differential equations manually and then confirm them in the software. Since I am new to this environment was seeking some guidance from the community
