Community Tip - You can change your system assigned username to something more personal in your community settings. X
Hi
How can you minimize this kind of error:
The symbolic result returned is too large to display, but it can be used in subsequent calculation if assigned to a function or variable
I looked at the knowledge base questions and there are a lot of this kind of issue reported unfortunately they are quite hard for me to follow.
I see this error because the limitation of my computer or limitation of Mathcad Prime 6.0?
Can you provide and example of how to assign to a function or variable?
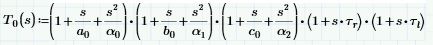
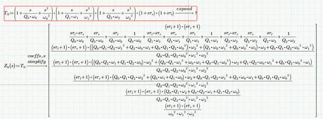
Below is what I am trying to do and it seems to work for T(s) and Z(s) but does not work for T0(s) and Z0(s) after I increase the complexity of T(s) a little more
Solved! Go to Solution.
And finally here is what I was talking about when I wrote about evaluating the elements of the result vector one by one:
Yes, that message is annoying and there is not much you can do.
1) Sometimes, when the result is a vector or matrix, it may work if you assign the result to a variable (or function, as you did) and evaluate the elements of the vector/matrix one by one
2) sometimes adding "simplify" or even "simplify,max" to the symbolic evaluation makes the expression small enough so that its allowed to be displayed.
Mathcad 15 has the same limitation, Mathcad 11 (the version LucMeekes is using) could be set up to evaluate expressions 20 pages wide and more, if necessary. Of course one might argue about the usefulness of expressions that large.
Here is a way to achieve the desired result. Note that it was necessary to turn T.0 from a function into a static variable.
You may also use "collect,s" instead of "expand".
OK, T.0 can also be a function of s if you put the "expand" keyword on top of the second evaluation
And finally here is what I was talking about when I wrote about evaluating the elements of the result vector one by one:
Hi Werner_E and MFra
Thanks Werner_E, evaluating the elements of the result vector one by one is exactly what I need. Again thanks a lot for your helps
An unrelated question, do both of you work for PTC? The reason I want to know is:
I am not sure if I should check the PTC community first for the issue I am running into and if there is no such issue reported, then I post it? I do not want to bother both of you too much if you do not work for PTC
OR
I should go with the PTC support by generating a case? My experience with PTC people who support generated cases is nowhere as good support as I get from both of you.
Thanks
Rdliquid
First let me say that I am in no way associated with PTC other than that I am using a Software (Mathcad) which they unfortunately bought more than a dozen of years ago. And to the best of my knowledge -MFra- isn't working for PTC, either. Guess you can identify PTC employees here in the forum by the ptc logo following their nickname.
This forum is mainly run by volunteers, user of Mathcad or Prime trying to help others with problems when time allows. I also see it as giving back something to the community as I learned most of what I know about Mathcad from experimenting and mainly from the pre-pre-predecessor of this forum, the Mathcad-collab run by Mathsoft in the good old days 😉
It sure is a good idea to search the forum if you have a question as chances are, that the same or a similar problem was already solved before here. On the other hand it must be said that navigating this forum and using the search function is not always as easy or helpful as we would wish it to be.
So don't hesitate to open a new thread with your question.
Many people have complained about PTC support here in the forum in the past, but based on what I've been reading here the last few month, I got the impression that things seem to have improved, not sure, though. I don't know how good and fast PTC support can be when it comes to specific questions about handling Mathcad or achieving a specific task.
PTC support sure is the place to open a case when it comes to installation problems, license problems, problems with the software which affects your business or if you encounter a software bug which should be fixed.
In addition to using the "simplify" command, you can define separately in a single constant every single compound constant as in the figure, moreover it should be "s ∙ τ" and not "sτ" which is considered as the name of a variable and not a product .
