Community Tip - Did you get called away in the middle of writing a post? Don't worry you can find your unfinished post later in the Drafts section of your profile page. X
All numbers are natural numbers. (Integer of n>0).
How to solve the equation? Prime 7 can not solve the answers.
The answers are
Mathcad never was the tool to solve diophantic equations (apart from an extension pack which worked only in a very early version of MC).
You get a result in MC15 but its in no way helpful:
Maybe Luc can show us what MC11 with Maple can come up with
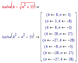
n and k are integer and n>0.
I got distracted. It is a Diophantine equation. See on Wikipedia.
Mathcad 11/Maple:
and with
you get only the first answer.
Success!
Luc
Well, you can find the answer, but it's not really "solving" . . .
