Solved
How to speed up calculation/plotting time when dealing with derivative?
- May 30, 2024
- 1 reply
- 3030 views
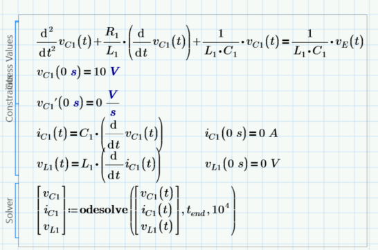
Hi,
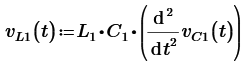
How to speed up calculation/plotting/update time for vL1(t)?
Try changing for example value of R1 from 1 to 2, and compare the time needed for the two graphs to update each other.
vL1(t) plot will take longer to update than iC1(t) and vC1(t) plot. There are some ways to reduce calculation/plotting time for vL1(t)? Or what is the reason of why vL1(t) take much longer time to calculate/plot/update than iC1(t) and vC1(t) calculate/plot/update plot time?




