Community Tip - If community subscription notifications are filling up your inbox you can set up a daily digest and get all your notifications in a single email. X
A challenge from Facebook, and one of the (wrong) answers.
My solution is in the closed area. Have some fun.
Hi Fred,
I had some fun.
Have my answer in a closed area also to stop the honest among us who don't peek.
Cheers
Terry
Hi Fred,
Remember this is fun.
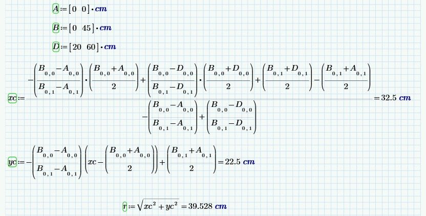
Intersection of perpendicular bisectors of AB and BD meet at the center. Once have center can get radius center to A.
As you posted a file in Prime Express 4.0 format, I thought I would provide an Express solution as well.
Basically simply two perpendicular bisectors are intersected to get the center M of the circle and the radius is the distance of M to one of the three circle points A, B or D.
Prime Express 4 file attached
Here a more basic approach without analytical geometry, just using good old Pythagoras.
The solving of a system of equations (in r and MF) is somewhat hidden by first expressing MF with r and putting that expression in the second equation.
"root" function can be avoided by some manual term manipulations
Prime Express 4 file attached
Since this was for fun I thought I'd see if I could replace Mathcad with Gemini Ai.
I have a circle. I draw a chord AB =45cm. Then I draw a line at 90 degrees to AB =20cm. This line is inside the circle. I draw another line perpendicular to AC towards the circumference. This line is CD =15cm and terminates on the circumference of the circle. Determine the radius.
I was going to go Werner's "good old Pythagoras" route until I saw he'd already posted it. So, as we've had Greeks, I'll go Indian instead.
Well they are both Indian.
The Baudhayana Shulba Sutra, an Indian text written between the 8th and 5th century BC, contains a statement of the theorem, a specific case for the isosceles right triangle, and the general case. This predates Pythagoras by about 300 years.
Nice!
Here is a similar approach that applies the circumference radius formula for triangles to triangle ABD. Not sure about the originator of that formula. The formula for calculating the area of a triangle is usually attributed to Heron.
The formula for calculating the area of a cyclic quadrilateral which can be seen in the formula of Parameshvara (15th century) you used is attributed to Brahmagupta (7th century). So Heron's formula (1st century) can be seen as special case of Brahmagupta's which in turn can be seen as special case of Bretschneider's (1842)
Prime Express 4 file attached
Time travel can get so confusing. I can't remember whether it was last week or next year that I gave Bretschneider a lift back to the 7th Century BCE.
I'm currently of the belief that some Sumerian had been sketching away in cuneiform and suddenly thought, " εὕρηκα!", and yelled out in frustration to his fellow scribe ", Cuius rei demonstrationem mirabilem sane detexi. Hanc marginis exiguitas non caperet.". To which his friend said, "𒅗𒁉𒀭𒈠𒉡𒀭𒈠𒉡𒀭𒈠𒉡𒀭𒈠𒉡". So, he did, and his friend further said, when he saw the proof, "उत्तमम्!". But then the canal bank burst and washed his theorem away before the Sun had set it in stone.
Still, he remembered enough to mention it in passing to some mathematically-inclined merchants during trade negotiations.
Meanwhile, in some yet-to-be-discovered cave, is a text in Neanderthal hieroglyphics ...
Stuart
Sadly, history is not an open book, nor are the originators of ideas as widely known as they perhaps should be. Take the case of Thomas Harriot.
"While Harriot worked extensively on numerous papers on the subjects of astronomy, mathematics and navigation, he remains obscure because he published little of it, namely only The Briefe and True Report of the New Found Land of Virginia (1588). ... Harriot invented binary notation and arithmetic several decades before Gottfried Wilhelm Leibniz, but this remained unknown until the 1920s. He was also the first person to make a drawing of the Moon through a telescope, on 5 August 1609, about four months before Galileo Galilei."
Similarly, the works of others remained obscure because they were destroyed, never gained traction, or never made it beyond their cultural boundaries.
Do we rename things and amend history books in favour of Harriot and others whose work has been 'rediscovered' at different times and in different cultures?
There is the saying "Those who write remain", in German "Wer schreibt, bleibt".
Many achievements were certainly known much earlier than they are dated today and were only passed on orally, or records were lost. Thus, the theorems are named only after the first people who published them and whose manuscripts have been preserved (and found). Many theorems circulate in different countries under different names. Sometimes justifiably, because something was discovered independently by different people but often because a local namesake is required due to a misguided sense of national pride. But a name is ultimately just a name, nothing more.
@Werner_E wrote:
But a name is ultimately just a name, nothing more.
Ah, how soon we forget the Prioritätsstreit between Sir Isaac Newton and Herr Gottfried Wilhelm Leibniz. 😈
@StuartBruff wrote:
@Werner_E wrote:
But a name is ultimately just a name, nothing more.
Ah, how soon we forget the Prioritätsstreit between Sir Isaac Newton and Herr Gottfried Wilhelm Leibniz. 😈
Oh, yes, The dispute between Leibniz and Newton sure was one of the most intense and far-reaching conflicts in the history of science.
Today, it is considered certain that Newton developed the theory first, Leibniz developed it independently later, but published it earlier, and his notation became the standard.
Two geniuses who really had no need for this dispute.
It's nice to see so many ways to skin this cat!
> (There is probably a name for this relationship, but, if so, I've long forgotten it!)
In German it's called "Höhensatz". According to Wikipedia its called "Geometric Mean Theorem" in English -> Geometric mean theorem - Wikipedia
