Community Tip - When posting, your subject should be specific and summarize your question. Here are some additional tips on asking a great question. X
Hi experts,
Can Mathcad help us arrange the equation from what I give?
for example,
the yellow parts are I know, I want to use these conditions to solve and get the green part, I know how to calculate by hand, but I would like to know if I can use Mathcad to do the same thing.
if it could, could you tell me what to do, thanks?
Solved! Go to Solution.
You claimed you could rework the equations to the form desired by you, by hand....
Now show us how that's done, step by step.
You start with:
and using proper mathematical handwork you rework this into:
Success!
Thomas. Eh.... Luc.
Hi,
what are you looking for? Are you looking for L?
What is Xm?
you have to define all unknown variables on the left hand side and the given ones on the right hand side.
I can try it tomorrow, when I have access to MathCad again on my workingplace.
w
for SYMBOLIC solution, I think you have to define each function with its depending variable like this:
Not required, the symbolic processor is happy to work with variables for which the numeric value is unknown.
Luc
thanks, I did no MathCad for some while.
No, Mathcad cannot do this, and you cannot either, because Vt does not occur in any of the yellow expressions, and there's no telling where Xm should come from.
However, as an example, with an additional expression such as:
You can get Mathcad to:
Success!
Luc
Hi @LucMeekes ,
Thanks for your reply,
I forget to add one equation.
Now, I add that, but it seems Mathcad can't help me to arrange the equation, right?
No that is not true. The symbolic result is ok, but the red marked variables are only when you like to calculate it nurmerically.
Where is X1?
How could Mathcad know which variables you would like to see in the result?
If you use "simplify" you get a simplified result and given the last assignment for V.t its quite correct even though its not what you may have expected:
I think there's an error in one of your expressions:
I will accept that V1/i*Xm is a current, but you cannot add that to V1....
Success!
Luc
@J_power wrote:
OK, I got it.
So I need to arrange the equation by my hand, right?
Not necessarily, but I still don't see how you could arrive at the expression with the equations you had given so far.
Whats wrong with Mathcads result V.t/I.t=X.2*i ? As I wrote above it follows directly from just one of the equations you gave, so the other other equations won't be needed.
I think the equation may have some wrong there.
I will check that.
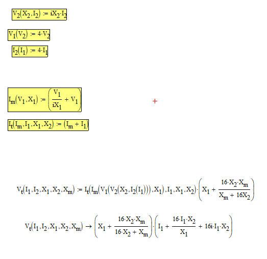
You claimed you could rework the equations to the form desired by you, by hand....
Now show us how that's done, step by step.
You start with:
and using proper mathematical handwork you rework this into:
Success!
Thomas. Eh.... Luc.
OK, I got it, thanks.\
