Question
MathCAD symbolic integration
- April 16, 2019
- 1 reply
- 1355 views
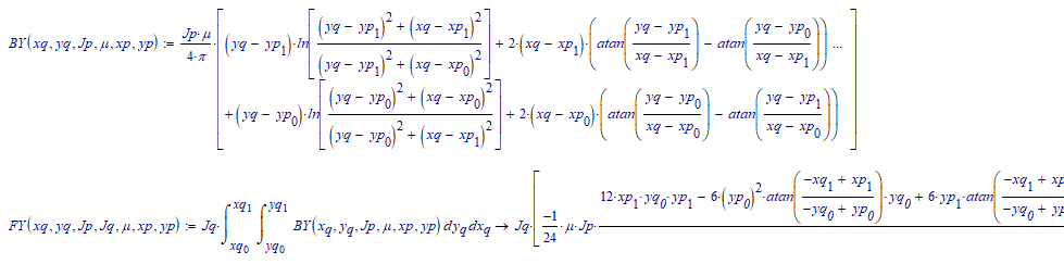
I am needing assistance integrating the attached equations. What I am wanting is a symbolic result of a generalized Maxwell equation for the force generated by the flux density. I have the flux density equations and the Forces (Fx,Fy) is the cross product of the Z cross Y and Z cross X components respectively. taking each independently and integrating twice will result in the the force.
What I need is the resulting symbolic equation. my attachment only has the Fx info Fy is a similar result. What I am looking for from the community is some suggestions to how to break this down so it will integrate?
Thanks looking forward to your responses.
Richard

