Community Tip - Visit the PTCooler (the community lounge) to get to know your fellow community members and check out some of Dale's Friday Humor posts! X
Hello everyone:
This thread is a continuation (and different question) resulting from this thread: https://community.ptc.com/t5/PTC-Mathcad/Mathcad-Prime-Breaks-in-Integral-Graph-Causing-Problems/td-p/755864
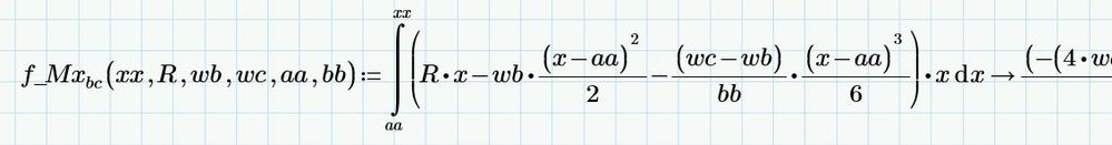
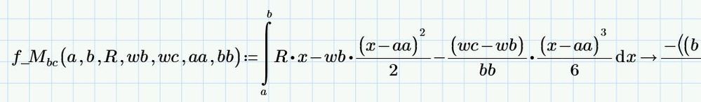
The replies in that thread were helpful. However, I still have to take the integral of Werner_E's equation to get the moment graph; and now, I'm trying to take the integral again to get the deflection graph. Is anyone here good enough at taking integrals that you could provide formulas for the integral (as opposed to just using the software to taking the integral) and second integral of the equation in Werner_E's more efficient function V formula? For convenience, here is a link to his formula: https://community.ptc.com/t5/image/serverpage/image-id/48045iEF9ADF38676B3B81/image-dimensions/752x76?v=v2
Thanks in advance.
Solved! Go to Solution.
Hi,
Second post with the fully generic calculations as promised.
The definition of B in my sheet is different to pwb in your calculations. B is the length of the load. pwb is distance from left of right hand side of load.
Your problem enclosed. I have added a Modulus of Elasticity, and a section modulus for deflection calculations,
It now is appreciably slower but acceptable speed.
Hi,
The enclosed analysis of a generic load on a beam. From the general shape you can equate any load. Even a point load is spread over a very small distance in real life.
It calculates the shear and moment in the beam directly.
It calculates the deflection using conjugate beam theory which does use integrals.
On my machine it is fast.
I would like to take some more time to make it even more general so multiple loads can be placed on a span. I'll get around to it.
I have negated moment and deflection so moment is plotted on tension side and deflection scaled by ten is downward.
Cheers
Terry
Hi,
Second post with the fully generic calculations as promised.
The definition of B in my sheet is different to pwb in your calculations. B is the length of the load. pwb is distance from left of right hand side of load.
Your problem enclosed. I have added a Modulus of Elasticity, and a section modulus for deflection calculations,
It now is appreciably slower but acceptable speed.
Hello Terry, Thank you very much for the reply and for your time. Unfortunately for me, I'm on V3 so I can't open the file you attached :(. Would you mind screenshotting the equations and posting them in an additional reply? Thanks again 🙂
See this thread: https://community.ptc.com/t5/PTC-Mathcad/Unable-to-evaluate-a-conditional-expression-Prime-6/m-p/764696#M198858
It contains a V3 of the file, saved in Prime 6, 4, and 2. You should be able to open the Prime2 file.
Success!
Luc
Hi,
If you have trouble with Luc's files here is a pdf of the file
Cheers
Terry
Hello, thank you for the information. A couple things:
1. These graphs don’t graph on V3 (I opened the V2 file from the thread Luc linked to). I believe I had this same problem at one point and also believe the reason why is because the functions to be graphed are calling other functions. This was why the formula in the OP is a long formula.
2. The deflection formulas are using integrals which are making my comp too slow. Well, presumably, since the graphs don’t graph at all. If I try to take the integral of the formula in the OP, it takes too long to calculate.
I was hoping to get an algebraic version of the integral to the formula in the OP. Like, if you were sitting in calculus II and had to actually take the integral and write down the resulting formula so I can use an algebraic version instead of calling the integral function. What do you think? Also probably need the second integral too :/.
Hi,
1. These graphs don’t graph on V3 (I opened the V2 file from the thread Luc linked to)
In earlier version of Prime try subscripting all the graph variables with "ïx" like this.
2. The deflection formulas are using integrals which are making my comp too slow
On page 3 if you view in draft mode I have used Mathcad symbolics to integrate the moment equations and turn the integrals into functions but have yet to finish the work. The formulas turn out to be very long but that does not matter you just use the functions. One day I'll get around to finishing it. On my machine using integrals is fast.
Cheers
Terry
At 1.
See attachment. I just recreated the graph, and now it plots. Don't know what was wrong...
Success!
Luc
Thanks for the replies. Much appreciated. I’m kinda still clicking around with this spreadsheet at the moment.
quick question, after you do the moment equations and you start doing the deflections, you have functions defined that have ‘cong’ in the name. Fcong, xcong, etc. what is the cong standing for?
Hi,
The subscript "cong" is short for conjugate beam.
Cheers
Terry
Hi,
I have added some comments that will make understanding it a little easier.
Cheers
Terry
Thanks for the help Terry and Luc!
To anyone who might be coming to this thread in the future because graphing integrals are going too slow. To the best of my knowledge, the reason why my graph was so slow whereas terry's was fast even though the graph is essentially the same thing is because his equations are broken up into smaller algebraic equations whereas my spreadsheet was trying to graph a large integral. If you do the symbolic solution of the integral of the equation I linked to in the other thread, you'll notice that it spits out another integral. So, his spreadsheet just evaluates the moment at each point whereas mine had to: take the integral, then evaluate some functions, then take another integral, then solve it. So mine had multiple steps to his one step and if you multiply that out by a thousand points along the beam it ends up causing the spreadsheet to take like 30 min to do the graph.
If this is happening to you, just try to split up your equations into smaller algebraic solutions and it should go faster.
Thanks again.
