Community Tip - When posting, your subject should be specific and summarize your question. Here are some additional tips on asking a great question. X
Mathcad 15 does not make assumptions in very simple problem for find function and keyword solve to provide only positive results .
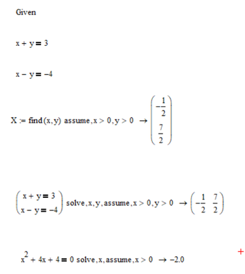
So:
means there is ONE solution, where x=-1/2 and y=7/2.
If you require that both x AND y are positive, Mathcad answers:
I think that's correct.
Success!
Luc
@LucMeekes wrote:
So:
means there is ONE solution, where x=-1/2 and y=7/2.
If you require that both x AND y are positive, Mathcad answers:
I think that's correct.
Success!
Luc
No solution found definitely IS correct.
But what you show is from Mathcad 11 with Maple under the hood.
Mathcad 15 with muPad as symbolic engine actually ignores (as so often) the "assume" modifier or the additional constraints in the solve block and returns a solution not meeting the constraints.
Evaluating the solve block numerically would respect the extra conditions
As usual with solve blocks the error message "This variable is undefined." is misleading and not helpful.
At least MC15 seems to work OK if there actually exists a solution meeting the extra conditions
That makes perfect sense. So apart from extra conditions there is no other keyword to meet the expectation ?
@SP_9781969 wrote:
That makes perfect sense. So apart from extra conditions there is no other keyword to meet the expectation ?
Which expectation?
If the expectation is that the symbolic solve returns an error instead of a solution which does not meet the conditions in the assume statement, then I fear there is nothing you can do apart from waiting for PTC to fix the problem and make changes in he symbolics to throw an error in that case. Feel free to report this issue to PTC support.
EDIT: Sorry, I just forgot that this thread is about real Mathcad 15, not Prime. So PTC is not selling or supporting Mathcad anymore. So reporting that behaviour would make no sense. You have to live with what you have.
Sometimes playing around in the symbolics with modifiers you may think have nothing to do with the result can bring unexpected and surprising (positive and negative) results in one example and different ones in the next. The old symbolics muPad in MC15 sure can be a stubborn beast 😉
