Solved
Playing with MP 9
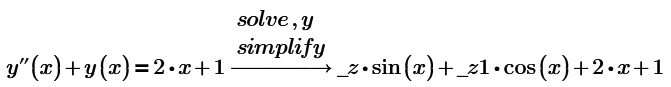
Trying out MP 9 by solving a diff equation symbolical and got this ambiguous result- but it evaluate correctly:
Owe

Trying out MP 9 by solving a diff equation symbolical and got this ambiguous result- but it evaluate correctly:
Owe

The result that you are looking at is the general solution. Place the equation and the boundary conditions in a vector to find a particular solution.

Cosmin
Enter your E-mail address. We'll send you an e-mail with instructions to reset your password.