Community Tip - Visit the PTCooler (the community lounge) to get to know your fellow community members and check out some of Dale's Friday Humor posts! X
Hi all,
I need some help plotting graphs. I have defined the function f(t) however Mathcad still says the function is undefined. Please provide solution. I have attached a screenshot have a look.
Solved! Go to Solution.
For more versatility I would make the peak voltage V an argument of all functions involved:
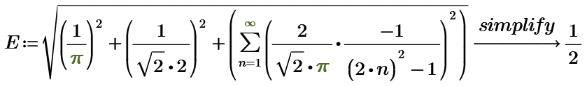
You don't need symbolical evaluation for plotting, but of course you could inspect the values of the coefficients that way:
If the last symbolic representation is important for you, you may try to define A1 and B1 separately like A0 and let the sum beginning from n=2.
Prime 6 sheet attached
In order to plot, Prime needs the function to be numerically known. That means that all symbols you use must be numerically defined, have a value.
In your function you have two DIFFERENT symbols V, one is blue, it is a unit (for Volt), and while that is numerically defined as 1 V, you have defined the function such that you transform it symbolically. The symbolic processor, which is happy to deal with (numerically undefined) symbols, doesn't know about units and treats them as (unknown) symbols. So it transforms the V into a V. Now you want to plot it. That's a task for the numeric processor, that doesn't know the value of V, and (rightfully) complains that the function is 'undefined'.
Possible solutions:
1. Don't transform the function symbolically.
2. Define V:=1 V. before the function definition.
Success!
Luc
So now you ask: But what about t , I didn't define t numerically?
Prime allows ONE variable to be undefined for a plot, that is the argument to the function, which it automatically and invisibly (behind the scenes) defines as a range variable from -10 to 10. That's why the plot shows that range along the x-axis.
But it's OK to override that automatic definition If you define t:=0,0.1...1 before the plot, it'll plot your function from t=0 to 1 in steps of 0.1.
okay so I avoid doing the symbolic transformation and then define t and then it should work? Have a look at this file, is this what you wanted me to do?
For more versatility I would make the peak voltage V an argument of all functions involved:
You don't need symbolical evaluation for plotting, but of course you could inspect the values of the coefficients that way:
If the last symbolic representation is important for you, you may try to define A1 and B1 separately like A0 and let the sum beginning from n=2.
Prime 6 sheet attached
I want to ask why doesn't it work when v(1,t) and it gives the wrong answer when symbolic arrow is used for B(n) it ends up giving zero? Are these limitations in the software like we discussed previously?
@AS_9824434 wrote:
I want to ask why doesn't it work when v(1,t) and it gives the wrong answer when symbolic arrow is used for B(n) it ends up giving zero? Are these limitations in the software like we discussed previously?
I don't know why the symbolics behave like it does. Sometimes we find a workaround for a problem or limitation, sometimes we don't.
But wrong results as given by the new symbolic in Prime 6 and later versions sure are not limitations but severe bugs.
Isn't prime 6 the latest version? I've heard prime 7 will be out soon, so will it use the same symbolic engine as prime 6?
@AS_9824434 wrote:
Isn't prime 6 the latest version? I've heard prime 7 will be out soon, so will it use the same symbolic engine as prime 6?
As far as I know Prime 7 is scheduled for the beginning of march.
Prime 6 contains two symbolic engines (the legacy MuPad and the new one).
Prime 7 will contain the new engine only. Lets hope that they will improve it.
Mathcad Prime 7 will be released on March 2nd, 2021.
