Solved
Matrix Calculation Problem - Mathcad Prime 7
- January 19, 2023
- 3 replies
- 1196 views
Hello,

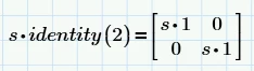
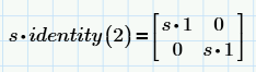
s is a variable.
The result should be:

It seems that Mathcad Prime 7 does not want to show the result, to calculate...Mathcad Prime thinks, thinks, and thinks again.
I gave him such a complex calculation that he can't do even that much?


