Community Tip - If community subscription notifications are filling up your inbox you can set up a daily digest and get all your notifications in a single email. X
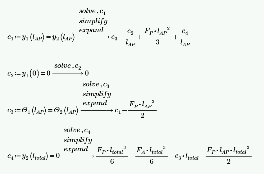
i have these 4 nice equations with 4 variables c.1 , c.2 ,c.3 ,c.4 im trying to set up a nice beam deflection algebra template. but i cant find any way to solve it, tryed with matrix and solve block no lock any ideas ? :).
- Dennis
Solved! Go to Solution.
Fortunately there are only 4 unknown variables to solve with the four equations. And one (c.2) is really simple.
Did you consider putting the 4 equations in a vector and solve for the 4 unknowns simultaneously, like:
Success!
Luc
Fortunately there are only 4 unknown variables to solve with the four equations. And one (c.2) is really simple.
Did you consider putting the 4 equations in a vector and solve for the 4 unknowns simultaneously, like:
Success!
Luc
Thank you so much.... 😄
@xester12 wrote:
i have these 4 nice equations with 4 variables c.1 , c.2 ,c.3 ,c.4 im trying to set up a nice beam deflection algebra template. but i cant find any way to solve it, tryed with matrix and solve block no lock any ideas ? :).
You cannot use numerical methods like a solve block unless you have numerically defined all necessary variables (F.A, F.P, l.AP,...)
