Community Tip - Did you get called away in the middle of writing a post? Don't worry you can find your unfinished post later in the Drafts section of your profile page. X
There is a problem with Prime8 in the way it assigns parentheses when differentiating functions - for example:
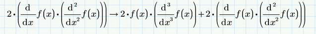
This of course looks correct - but if you paste the answer into another equation - Prime8 erroneously assumes the leading differentiation applies to the remainder of the expression i.e.:
So Prime8 should have given the original differential with parentheses assigned as follows :
When deriving complex partial differential expressions (@SP_9781969) this defect is a problem. The workaround is to manually correct the results at each stage by inserting brackets at the right place - however, even this can be tricky as Prime8 conflates everything together and won't allow brackets to be inserted around the correct terms - so you have to cut and paste - and exercise that itself can inject errors further errors.
Thats really bad! This bug is already present in earlier Prime versions, too. I tried in P4 and P6 and there is no difference whether the new symbolic engine (FriCAS) or the legacy engine (muPad) is used (apart from the legacy engine being much faster).
Older versions deliver a nicer display as they omit unnecessary parenthesis, but internally after copying the first symbolic result, the explicit (!) multiplications are ignored as well. Quite a bad bug.
Here is what I see in P6 and also in P4
You my consider reporting this bug to PTC support.
It seems to have to do with the generally bad implementation of copy & paste in Prime. Quality of copied picture regions is inferior and we cannot just copy a region by dragging it with pressed Ctrl-key as is usual with most Windows applications.
Speaking of software with better usability, here is what we see in Mathcad 15 when we duplicate the action there
It may be related to the (automatic, and invisible) bracketing of arguments of an implicit multiplication. See this: https://community.ptc.com/t5/Mathcad/36-3-8-6-6/m-p/849618#M204622
On another note: This (once more) underlines the advice that you should not copy symbolics, but use them. If you just use the symbolic result, it stays the same:
Examples of usage:
Success!
Luc
@LucMeekes wrote:
It may be related to the (automatic, and invisible) bracketing of arguments of an implicit multiplication. See this: https://community.ptc.com/t5/Mathcad/36-3-8-6-6/m-p/849618#M204622
It was also my first idea that it may having something to do with implicit multiplication but then I noticed that Prime correctly puts explicit multiplications in between the expressions, so there should be no doubt that the second derivative in the result is NOT part of the argument of the first one (which is how Prime treats it after copying).
While I generally agree with you that the result should be assigned a function or even just a variable and not being copied, copying should not result in such a wrong outcome.
@GeoffD When I wrote about reporting this as a bug I actually had in mind that you do this by opening a support case at PTC support and not by creating an 'idea'. Over the years I got the impression that this idea section is just kind of a placebo to keep us quiet - "Please don't bother us anymore - open a new idea and if enough(?) users upvote it, then, maybe, one day ..."
Just a follow up:
The problem remains in Prime 9 but is fixed in Prime 10 and later.
But only because the symbolic result is displayed differently grouped
If we manually input the expression without the parentheses, we still get the wrong looking result
The parentheses around the derivatives look ugly and should not be necessary.
The product in the last example should only be interpreted as the expression to be derived if its put into parentheses, otherwise the evaluation looks wrong for a reader.
So while at least the symbolics is not creating an expression anymore which it itself misinterprets when its copied, its still not there where we would like it to be
