Community Tip - Have a PTC product question you need answered fast? Chances are someone has asked it before. Learn about the community search. X
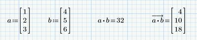
I want to multiple these two matrix without summing the answer. Like the first value of q times the first value of A and the result should be matrix not a final result
Solved! Go to Solution.
You have to use vectorization
THANK YOU VERY MUCH
