Community Tip - If community subscription notifications are filling up your inbox you can set up a daily digest and get all your notifications in a single email. X
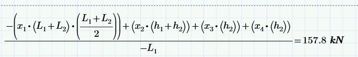
Hi, I want to solve numericly this equation. can anyone help me ? I am new with MathCad.
Also, is it possible to break the equation to make it in two lines ? Right after the =0 would be the best. The CtrlShiftEnter does not work at this place.
Thank you
Solved! Go to Solution.
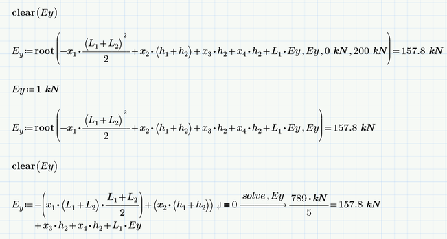
To solve this simple equation numerically you may either use a solve block or the "root" function in one of its two flavors (either provide a range or a guess value).
An1d, no - you can't insert a line break where you like - it must be at an operator (+,-,*..) and the symbolic arrow will still show to the right of it, making for an even uglier display:
You may consider going to the calculation option and check "Use units/constants in symbolic math"
Please attach your worksheet. NOT just a picture.
Success!
Luc
To solve this simple equation numerically you may either use a solve block or the "root" function in one of its two flavors (either provide a range or a guess value).
An1d, no - you can't insert a line break where you like - it must be at an operator (+,-,*..) and the symbolic arrow will still show to the right of it, making for an even uglier display:
You may consider going to the calculation option and check "Use units/constants in symbolic math"
Thank you !
Hi,
The reactions to the structure are statically determinate. They can be solved directly without resort to Prime's solve systems. eg.
Hi,
Yes I know, It is a simple demonstration for students. This is why I am using this method.
Thank you
