Community Tip - You can subscribe to a forum, label or individual post and receive email notifications when someone posts a new topic or reply. Learn more! X
In vibration theory there is a problem to define position and velocity of a rod which loaded with distributed bending force q(x). If to assume that this force acts by sine law the vibration equation will be written as follows:
Where v(t,x) – function of vertical position of the rod points, E – elasticity modulus, J – second area moment, m – mass per unit length, ω – circular frequency of acting force.
Note that J and E assumed to constant.
If to substitute now v(t,x)=y(x)·sin(ω·t) one can obtain an ordinary differential equation which describes a form of oscillation:
Solve this equation assuming:
;
;
Solved! Go to Solution.
Mathcad can't solve ODEs symbolically (at least not out-of-the-box), but it can provide a numerical solution, given that you provide the values of all the constants involved (this includes the value of m which is not specified in your text).
Mathcad provides a couple of stand-alone solvers for ODEs and also a convenient way using a solve block with "odesolve":
Guess it didn't made much sense that I had chosen x.end larger than l=100 😉
Mathcad 15 sheet attached
That doesn't seem like an Ordinary differential equation, but more like a Partial differential equation.
Besides, your graphics are very poor quality, hard to read.
I suggest you put your equations and data in a Mathcad sheet and attach that.
Saves us typing and making errors in them.
Success!
Luc
Edit: So, you've updated the pictures. But still no Mathcad sheet.
I'm sorry for the errors in here. I've just started learning MathCad and i have no idea how to solve equations on Mathcad.
The 4th order linear ordinary differential equation can be easily solved even without the numerical help of MC. A piece of paper and a pen are sufficient (literature: Kamke, Pontrjagin, ...). Since coefficients and inhomogeneity are constant, the classic procedure is:
1.) Determination of the zeros of the characteristic polynomial
Approach for the general solution of the homogeneous DGL using linear combination of the exp function (note complex zeros).
2.) Approach a special solution of the inhomogeneous DGL using a constant that has yet to be determined
3.) Linear combination of general solution of the homogeneous equation and the special solution of the inhomogeneous equation
Calculation of the coefficients of the linear combination from the initial values
However, if MC is to be applied, the explicit fourth-order equation must be transformed into a system of four first-order equations and an implemented solution block of MC must be applied, i.e. y1´=y2, y2´=a3, y3´=y4, y4´ =f(x,y) and y1(x) is the solution.
Small supplement:
Why do it simply when it can be done in a complicated way 😉 ?
Hello @TT_11056782,
It looks like you have a response from a community member. If it helped you solve your question please mark the reply as the Accepted Solution.
Of course, if you have more to share on your issue, please let the Community know so other community members can continue to help you.
Thanks,
Community Moderation Team.
Mathcad can't solve ODEs symbolically (at least not out-of-the-box), but it can provide a numerical solution, given that you provide the values of all the constants involved (this includes the value of m which is not specified in your text).
Mathcad provides a couple of stand-alone solvers for ODEs and also a convenient way using a solve block with "odesolve":
Guess it didn't made much sense that I had chosen x.end larger than l=100 😉
Mathcad 15 sheet attached
One additional comment because I had written that Mathcad can't solve ODE's symbolically out-of-the-box.
@LucMeekes has provided a toolbox for Mathcad to solve ODE's symbolically -> Toolbox: Solving Ordinary Differential Equations
When I use it (with the constants still assigned their numeric values) I get a solution consistent with the one derived by Mathcads solve block.
But trying to get a pure symbolic result failed:
I guess the reason is the "invlaplace" function in the symbolic result
Too bad, the invlaplace of s^3/(a-s^4) is too much for Mupad, and for Maple (as far as available in Mathcad 11):
but WolframAlpha knows: https://www.wolframalpha.com/input?i=invlaplace%28s%5E3%2F%28a-s%5E4%29%29
And the enhanced Maple-engine in Mathcad 11 is powerful enough to solve the ODE:
with:
we can solve:
which gives:
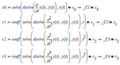
now to solve c0 through c3:
The result of which we can feed back into ys():
Gives:
Check that the initial conditions are satisfied:
define the values of the variables:
and plot the result:
Success!
Luc
Surprise! Prime's new symbolic is able to deliver a solution:
MC15 can't provide a solution that way
but it does when we replace a by a^4
So a possible workaround is
But unfortunately this is no help with regard to your LODEsolve function.
Same here in Mathcad 11:
must remember this....
Thanks!
Luc
