Community Tip - Did you get an answer that solved your problem? Please mark it as an Accepted Solution so others with the same problem can find the answer easily. X
Hey all,
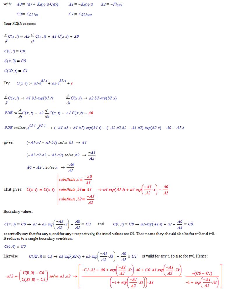
I'm trying to solve equations for concentration which change over space (x) and time (t)
I never work with PDE, usually only ODE. So of course it does not give results like i want.
Can you please help?
Thanks
Hi,
You should upload the file again, because the download gives an error.
Still download error. Perhaps you should 'zip' the file prior to upload?
I don't experience any download errors - the file is perfectly OK concerning file integrity.
Maybe your systems don't like the comma in the file name!?
Here is the file - renamed and also zipped
Ah okay it seems way more complicated but sure i will try your approach.
Thank you
Hi SavitriN,
The way you set up the problem, it seems that you want a numerical solution. If so, all the values of the known terms, the initial and the boundary conditions are missing.
Once these values are supplied, the numerical solution can be obtained with pdesolve, and compared to the symbolic solution...
Luc
Yes, i do need the numerical solution. And on the original file i have the value for everything,
but it does not work..
