Community Tip - Did you get called away in the middle of writing a post? Don't worry you can find your unfinished post later in the Drafts section of your profile page. X
Hi
I defined a function but right below it says its not defined.
Please let me know the issue?
Very bottom of the document
Thanks
Prashanth Rajendran
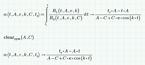
You mean this:
Well, neither t_sub_a nor t_sub_b are defined above or to the left of the definition of this function.
Where did you (think you) defined them?
Success!
Luc
The problem is exactly as I explained it above!
A is a numerical value derived by an integral of a function which is defined with an if-command. Prime can't evaluate this symbolically because it would first try to simplify the definition which is not possible to do with an "if" if you don't know the value of the argument.
Also C is defined as a function above but you use it as a variable in your function. This would throw the next error.
One way to cope with that is to clear A and C for symbolical use if its that what you want to see:
Hi I'm trying to evaluate the integral either simpsons rule or exact integral but mathcad gave me error.
I need assistance prefarably the exact (lowercase signma 1) one but if not, then the simpsons approximation (uppercase sigma).
Thanks
I am not sure what you are trying to do and which integral you are talking about.
But I don't see any errors in your sheet.
The first integral (from 0 to 0) seems rather useless
EDIT: The thread should continue here -> https://community.ptc.com/t5/PTC-Mathcad/Mathcad-Summation/m-p/608579/highlight/true#M185746
You try to symbolically evaluate a function that is traceable to a function that includes a branch (Phi and F).
You can't symbolically evaluate/display a function which includes a branch (if-function or if-statement).
