Community Tip - You can subscribe to a forum, label or individual post and receive email notifications when someone posts a new topic or reply. Learn more! X
Hello Everyone.
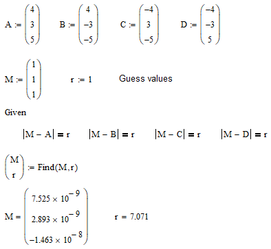
From the following :
Thanks in advance for your time and help.
Best Regards.
Loi.
Solved! Go to Solution.
How about using a solve block?
In case of your data the centre of the sphere is exactly the origin.
You can increase the precision by setting something like CTOL:=10^-8
I greatly appreciate your time and help. I'm very happy with your help. My question would be the following : (just only changing the GreenPoint)
Thanks Again.
Loi.
just only changing the GreenPoint
Just type in the solve block and throw in the coordinates you are interested in.
Note that the exact expression of the center is large, in full it is:
With another set of points, you may get:
Success!
Luc
Many, many thanks, Luc. And I still have a query about : center and radius of inscribed sphere.
Best Regards.
Loi.
Hello Everyone, again.
And I still have a query about : center and radius of inscribed sphere.
Best Regards.
Loi.
Hi Everyone again,
Until now, I got 2 new points of center. (DarkGreen and Violet). And I still have another query : 2. How to Plot the contact-point of ΔACD (Red-Blue-Orange) and inscribed sphrere ?
Thanks in advance.
Best Regards.
