Community Tip - Did you get called away in the middle of writing a post? Don't worry you can find your unfinished post later in the Drafts section of your profile page. X
Hi all,
I need to solve a calculation using Mathcad prime 7 for my work, but i am newer of mathcad and not able to solve it by maself, even with the help of ChatGTP, it's not clear.
So my problem is, I have an array of 3 values as Tp by witch i can get my L0 array, and the fuction that i wanna get solved is as below.
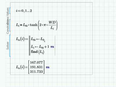
When there is only one Tp/L0, the problem is easy to be solved, you will find the solution is 311.733m for a Tp of 15s. However, when the TP or L0 is an array of multiple values, then i cant get it solved correctly in the solve block, either i cant get a solution or the solution is incorrect (ie. for a Tp of 15s, the solution is 352.175m comparing to 311.733m that i found at the other sheet).
Btw, in my full calculation sheet (as shown below as screenshot), i build the block in the same way, not sure why it works but not in the calculation table I built separately.
Can someone can help me write it correctly ? thanks
Attachment:
Find with only one vector.mcdx
and Find with an array.mcdx
Solved! Go to Solution.
I guess you won't be able to assign this result "vector" (it just looks like a vector, but isn't) to a variable, right?
You would have to define "i" as a vector rather than a range to make it work.
See my reply to your initial question for, what I think, more compact and easier solutions.
Hi,
because I am not expert ... this is all I can think of:

Problem solved !! 😊
Martin, thank you anywyay !!
I guess you won't be able to assign this result "vector" (it just looks like a vector, but isn't) to a variable, right?
You would have to define "i" as a vector rather than a range to make it work.
See my reply to your initial question for, what I think, more compact and easier solutions.
Your answer also solved another problem of mine, thank you very much 👍
I would suggest that you turn L0 and the solve block into functions dependent on Tp and then call the solve block function vectorized(!!) with the vector Tp as its argument.
You may also use the "root" function instead of the solve block with find
Don't have Prime 7 installed so I can't attach a worksheet you can read (the attached one is in P10 format), but you shoiuld be able from the pics to duplicate what I did.
Thank you for the "root" function, it's very helpful. 😊
The "root" function can be used in two ways:
Either by providing and interval, two values, one to the left and the other to the right of the expected solution like I did. I had chosen constant values 1m and 1000 m, but it may be better to use something like 1m and L0(Tp)+10m or similar.
Or you use "root" by providing a guess value.
Turned into a function and providing the same guesses which you used in your solve block it looks like this
