Prime 7 and odesolve
- January 13, 2022
- 2 replies
- 2602 views
I recently encountered an issue with Prime 7. The function odesolve doesn't work the way it used to in Prime 5 and I can't figure out why.
I'm updating my MathCAD sheets to Prime 7 and my current header and coding standards, and finding that there's an issue with odesolve.
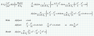
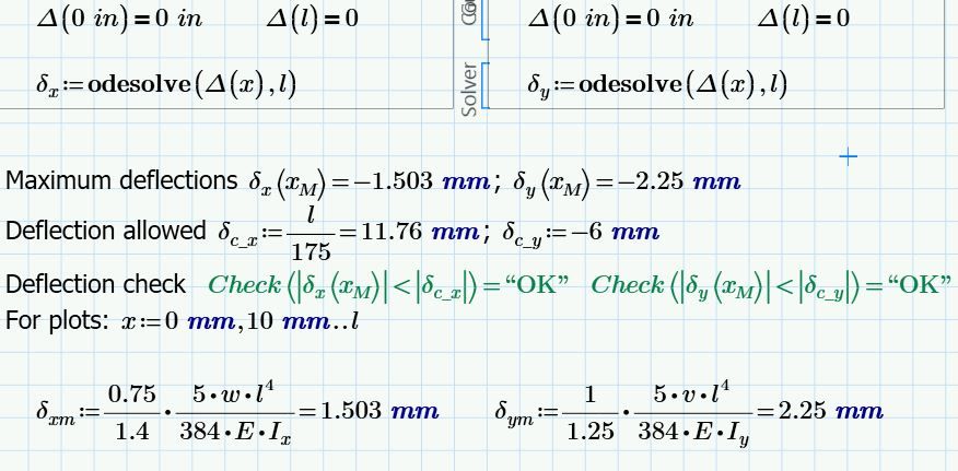
Here is my solve block showing the differential equation for deflection of a beam. It's a simply supported beam, so deflection delta at 0 and at the beam's end L are both zero.

E is in units of GPa, Iy in units of mm^4, length l in units of m, and M(x) in units of kN*m. I have verified that all units are correct.
When I open this MathCAD sheet in Prime 7, I get an error "These units are not compatible", but when I open it in Prime 5, I get no error and the thing works.
What is different about Prime 7 that causes the functionality not to work anymore? MathCAD sheet attached.
Please help!
Thanks!


