Community Tip - You can subscribe to a forum, label or individual post and receive email notifications when someone posts a new topic or reply. Learn more! X
@LucMeekes ....With your help from my previous post , I was able create a n excel table based on the timing matrix (both attached, plot the waveform and then calculated average Power dissipation in a cycle...
Can i do the same plot and find average using range variable(from time vs power matrix), there by i can skip the excel part of it?
Can you show me an example?
Thank you
Jacob
Solved! Go to Solution.
Programming lesson of data set.
From csv Data, programming makes Power Table data Ans as shown below.
But this is only for this data set and if the data has noises it becomes more difficult.
Therefore, this is only the first step to make table data.
Tokoro.
From csv data, you can use mean function.
@ttokoro .....Thanks for trying help me...
I generated the excel file from the attached time vs power matrix
Here my question is with out generating the excel file, Is it possible to find the average power , from the attached matrix , using Range variable?
@ttokoro ...In your attached file with programming the power extends in to negative region(quadrant 4). We cannot do that. That will give us error. I in the attached excel file you can see that i multiplied. I corrected the Matrix to look like the excel table. New matrix attached
@LucMeekes ...Please help if possible
Only change the table data what you want.
If you want to
The table data should be below, that is readable from your csv data.
@ttokoro ...your detailed explanation in resolving it thru programming is highly appreciated. I am still looking to see someone can help me resolve this thru range variables
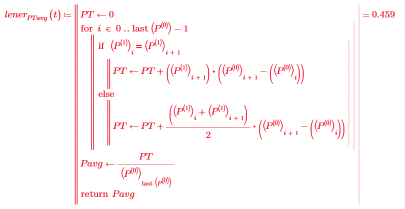
I guess this is sort of what you are looking for:
Attached is a Prime 4 file.
Success!
Luc
This is great job...
I was expecting a little bit more simpler solution where range variable s splitting different sections in the plot as per matrix and then combining these sections in the plot , after that find the average from plot...Once again thanks a lot for helping. Corrected matrix included
Programming lesson of data set.
From csv Data, programming makes Power Table data Ans as shown below.
But this is only for this data set and if the data has noises it becomes more difficult.
Therefore, this is only the first step to make table data.
Tokoro.
