Community Tip - Did you get called away in the middle of writing a post? Don't worry you can find your unfinished post later in the Drafts section of your profile page. X
Hello guys.
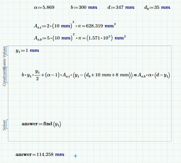
I'm having a problem with reducing a calculation. In this case, it is the intermediate calculation in a solving progress.
Can someone tell me how to remove/reduce the result?
I'm new to mathcad, and I'm working in Prime 4.
The file is attached
I'm no expert in symbolics, but in this case you don't need that. You can use a solve block. (Also - be aware float actually drops accuracy)
The symbolic solver does not knwo about units. It treats your 10 mm and 8 mm each as a constant times a variable 'mm' and does NOT relate this variable to the unit mm.
First solve your symbolic expression, then fill in the values:
(The solution runs off into the right...)
It's up to you to decide which of the two possible solutions to this quadratic expression is the right one. That may(...) be accomplished with an assume statement.
Success!
Luc
