cancel
Showing results for 
Search instead for 
Did you mean: 
cancel
Showing results for 
Search instead for 
Did you mean: 

Community Tip - Did you get called away in the middle of writing a post? Don't worry you can find your unfinished post later in the Drafts section of your profile page. X

Translate the entire conversation x

Sensitivity Analysis Using Mathcad

ChemEng
1-Visitor

Sensitivity Analysis Using Mathcad

Is there a Mathcad example in this forum that demonstrates a sensitivity analysis to determine the impact a variable has on the system. I searched the topics and found nothing. A shared example would be greatly appreciated.
Thanks.
8 REPLIES 8

On 4/28/2010 5:04:18 PM, Stevenlee wrote:
>Is there a Mathcad example in
>this forum that demonstrates a
>sensitivity analysis to
>determine the impact a
>variable has on the system. I
>searched the topics and found
>nothing. A shared example
>would be greatly appreciated.
>Thanks.
______________________________

"sensitivity analysis" is vague and should not be confused with UA [Uncertainty Analysis]. Clearly, UA depends upon the measuring equipment or the statistical probability, and are two different matters. Let's say you have a collection of variates, and a modern advanced CAS like Mathcad ... SA is then an obsolete concept that does not apply anymore. By reading Wiki, the author has no idea at all what modern numerical curve fitting can do. He might have a point about the cloud of data to be re-examined later. In the mean time, read example 2 attached [Homographic function]. The sensitivity of the measuring equipment is either very low or the data have been processed to floor/ceiling in bands. Out of the 777 original data, you can experiment decimation and check that the fit at very low number of data [points [as low as 7] does not change or does not change by any mathematical method.

Why is that so, Watson ?

Because the model is the exact model for the data set to be fitted, and the Mathcad solver Minerr is robust and designed around curve fitting of about any model, models visually "simple" or familiar ... to models of great complexity. Data that do represent physical phenomenon(s) will have a model function, known or unknown. If known: no much fun, if unknown: great fun ! Even in the case that no model sufficiently accurate is found, there are all sorts of data cleaning and tools to enable a flawless reconstruct.

More concepts can be considered, like MLE histogram ... etc. Once a model is found and new experiments come out of the lab, no more points than there are parameters are needed. And at this points the sense of "sensitivity analysis" resumes in a minimal collection around the points that best determine the fit. How many points in the "local clouds", that will depend upon the dispersion and can't surely be predicted or can under some statistical method of your choice or otherwise agreed.

Just get convinced with these two examples attached.
If you have data that you can attach, many collabs will attend.


jmG
LouP
12-Amethyst
(To:ChemEng)

I can't offhand find specific examples in my archives (prob. too complicated in any case), but here's a math outline of of what I think you are looking for. The analysis is a linearization around a given operating point, and will not be useful for large changes (not usually the intent). For some functions , you may be able to define the sensitivitles symbolically as new functions. Often, I will simply compute the individual parameter sensitivities numerically by dithering each parameter separately. hope this is enough to get you going.

Note that the sensitivities can be complex, as is often the case in circuit analysis.

Lou

IRstuff
12-Amethyst
(To:LouP)

A more general approach is to use Monte Carlo analysis. You assign probability distributions to the various input values and see what comes from the output as a function of the inputs.


TTFN,
Eden

Thanks Lou,

But all that topo, isn't what Paul W. Minerr does quick and automatic, which by same token is what I have previously demonstrated ? Your analysis is what we use in reverse engineering format to estimate the error from multiple sources of variates, based on the stated tolerances of each individual variate. For instance, in measuring and data logging the steam properties, the main variates are the �C, pressure and flow. The result will then be in � engineering unit [ heat content per say]. On natural gaz contract, it turns out a bit [a big bit] more complex.

Here is this well documented and sourced Mathcad work sheet [in french].

jmG
ChemEng
1-Visitor
(To:ChemEng)

Thanks EDEN and Lou, your suggestions are what I was looking for. I am making going to run functions through my model and take the derivative of the that function with respect to a range variable for the sensitivity.

EDEN
I am interested in using the Monte Carlo (MC) analysis as part of the sensitivity analysis (SA). Do you have an example. I am familar with running a MC using Mathcad but not the SA.

Hello,

could someone convert all attached files into the PRIME format and upload again. Unfortunatly, i can't  install Mathcad 15 (includes converter) in the university.

VladimirN
24-Ruby III
(To:s-soberh)

Please find in attachment converted worksheets for Mathcad Prime 3.1 version (some elements in the calculation are not supported in Mathcad Prime). You can also view the contents of worksheets from the regular version of Mathcad (PDF in attachment).

-MFra-
21-Topaz II
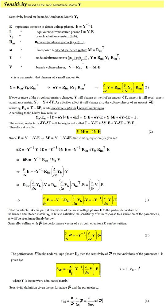
(To:ChemEng)

Hi,

Can the analysis of the sensitivity of an electric network be useful? see photo and attachment.

Sensitivity.jpg

Announcements

Top Tags