Community Tip - Did you get called away in the middle of writing a post? Don't worry you can find your unfinished post later in the Drafts section of your profile page. X
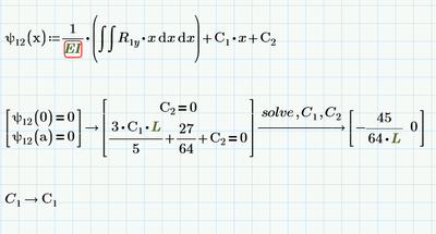
I'm currently using my school's Mathcad license of 8.0.0.0 and currently trying to symbolically solve a system of equations but it compute. Is there any work around this for the 8.0.0.0 version?
Solved! Go to Solution.
Hi,
It is necessary to define L and EI
It is necessary to have two equations to find two values C1 and C2
However I'm able to open the file above in version 9.0.0.0 and it works fine. As below
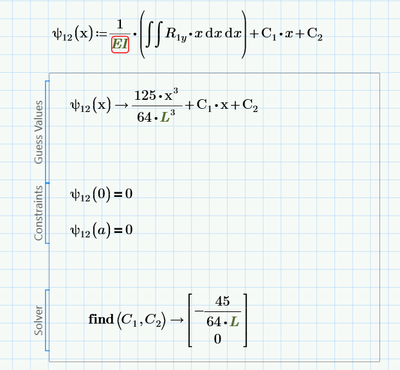
I should have just used a matrix and solved that way. I figured it out.
But is there now a way to automatically redefine C1 as it is in the matrix before?
Figured it out 🙂
