Community Tip - Did you get called away in the middle of writing a post? Don't worry you can find your unfinished post later in the Drafts section of your profile page. X
I am new to mathcad prime and unable to evaluate solve block result not sure what is wrong
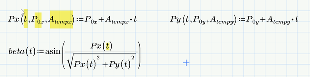
When you define a function of n formal arguments, you must also provide n actual arguments when you call this function later.
You defined Px and Py as functions with three arguments but you call them in the next line with just one argument (t). This does not work.
Furthermore you define A.tempx as a function but you use it later as a variable/function argument.
Can it be that you are trying to do something like this:
P6 sheet attached
Thank you Werner. I tried to do same thing in my other worksheet but getting the error. I think I am doing something wrong fundamentally with solve block and unable to figure out what it is. Added worksheet for reference
It has nothing to do with the solve block and the error message tells the truth and Prim even is able to reveal where the error occurs. left click on "find" which throws the error. Then switch the menu to the "Calculation" ribbon and click "First" in the "Error Tracing" section. This should send you to the first call of GOT.
