Community Tip - Did you get an answer that solved your problem? Please mark it as an Accepted Solution so others with the same problem can find the answer easily. X
Dear all,
I've been trying to get this solve block to work for a system of forces and moments for quite some time now but I just can't get it to work. Can somebody take a look at it to see whats wrong?
Cheers
Solved! Go to Solution.
Do you have any recommendations for literature about Mathcad 15?
Unfortunately not. Personally I learned using Mathcad many years ago just by doing (you may also call it trial and error) and using the manual (up to version 11 the software included a hard printed reference manual which also deserved that name) and foremost the Mathcad Collab . The collab was the pre-predecessor of this support forum which was considerably better attended than this one and had a significantly higher number of users and posting frequency. I learned a lot not only by asking if I got stuck but also mainly by simply following the discussions about the questions of others.
I collected quite some books about Mathcad over the years but I seldom found them particularly useful and most of the time , I resorted just to the old manual. You may still be able to find a pdf of the Mathcad 11 reference manual searching the net (it also was posted here in the forum now and then) but I am not sure if its legal to download it 😉
Your solve block uses a lot of variables which are not defined.
They obviously are intermediate variables but when you introduce them you also have to use them in the final "Find" command even though you may not be interested in their values.
An alternative might be to use functions.
Here is a simple example of what I am talking about.
This solve block fails because c is not defined:
We add a guess for c and also add it to the "Find" command even though we are only interested in the values of a and b
And here is what I meant with using functions:
You may define the functions also within the solve block.
Dear Werner_E,
Many thanks for your reply! I see.. Okay I'm making a few changes.
I'll let you know.
Cheers
Dear Werner_E,
I switched some things around and tried using functions but I didn't get it to work.
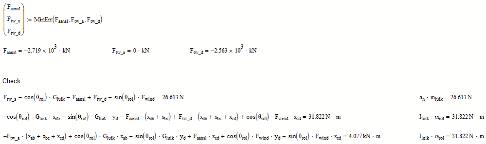
In the attached sheet you can see I determined F.wind with the use of a solve block. So at least it works with one unknown variable.
Next I want to determine the forces F.aansl, F.tw_a and F.tw_d. Now these are three unknown variables and I have three equations, that means that this should be solvable.... right?
Thanks in advance!
Cheers
Now these are three unknown variables and I have three equations, that means that this should be solvable.... right?
Not necessarily - its not mandatory that there always must be a solution for three equations in three variables.
The error message a solve block will always throw ("This variable is undefined") mostly is meaningless and wrong. You get a better clue about what was going wrong if you use Mathcads trace facility: Right click the red highlighted variable and chose "Trace error" and then "First". In your case we now get the error message "No solution found". So you may want to check your equations and used variable values.
You may also use "MinErr" instead of "Find" but I guess the values are not as expected and if we check the three equations, the first two are fulfilled pretty well but the last one fails badly. May be a sign that it may be a good idea to check all equations.
One additional remark.
I put the values into your equations and changed the names of the three variables to be more clearly for me in the process. This resulted in the following linear system of equations and as you can see, the determinant of the coefficient matrix is zero and this means that (the left hand side of ) these three equations are linearly dependent. So you need an additional equation that is independent from the previous ones and you can replace one of the given equations with it.
Ore more precise - the rank of the matrix of coefficients is 2, but the rank of the extended matrix is 3 (hopefully not just because of rounding errors at the values on the right hand side). This means that the system you had set up has no solution! Chances are that at least one of the equations is faulty.
Dear Werner_E,
Many thanks for your response. The "Trace error" option is a handy functionality. It helped me solve a few problems. I think I know what I did wrong now. I believe I forgot to add a certain reaction force, which made the system of equations unsolvable. You we're right.
Anyway, I think the amount of equations is making the worksheet a little unclear. Since I'm not yet that experienced with Mathcad I first tackled this by simplifying the problem, but I'm keen too work things out more thorough and complex. Do you have any recommendations for literature about Mathcad 15?
Kinds regards,
Do you have any recommendations for literature about Mathcad 15?
Unfortunately not. Personally I learned using Mathcad many years ago just by doing (you may also call it trial and error) and using the manual (up to version 11 the software included a hard printed reference manual which also deserved that name) and foremost the Mathcad Collab . The collab was the pre-predecessor of this support forum which was considerably better attended than this one and had a significantly higher number of users and posting frequency. I learned a lot not only by asking if I got stuck but also mainly by simply following the discussions about the questions of others.
I collected quite some books about Mathcad over the years but I seldom found them particularly useful and most of the time , I resorted just to the old manual. You may still be able to find a pdf of the Mathcad 11 reference manual searching the net (it also was posted here in the forum now and then) but I am not sure if its legal to download it 😉
Dear Werner_E,
Thank you for your help. I appreciate that you invest your time in helping others!
Ah right.. I managed to find the manual quite quickly. Very handy indeed. I keep that on the side while tinkering with Mathcad.
Cheers!
