1-Visitor
November 3, 2018
Solved
Solving a non-linear differentialsystem 2.order
- November 3, 2018
- 2 replies
- 3395 views
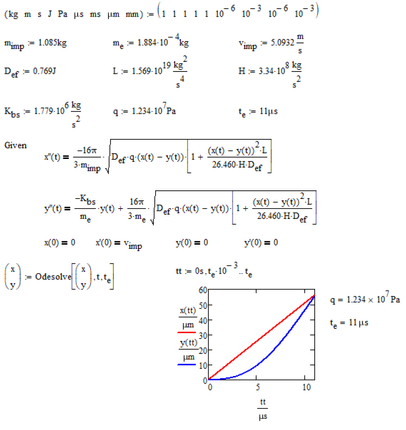
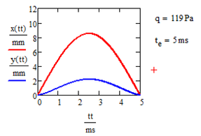
Greetings,
i am trying so solve the attachted differentialsystem in Mathcad 15. Note, that im not THAT familiar with the program.The last few days i spent searching this forum, but i couldnt get any clue. The error massage seems to vary within an Hour ![]()
Some Background:
This is a differentialsystem, which describes the motion of an impacted panel and the impactor.
Thanks in advance ![]()



