Community Tip - Did you get called away in the middle of writing a post? Don't worry you can find your unfinished post later in the Drafts section of your profile page. X
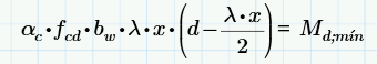
I have the following equation:
I want to find the value o x, the others variables are all defined earlier on worksheet. After getting the value, how can I link this value to a variable?
I am using PTC Mathcad 5.
Solved! Go to Solution.
To get the two solutions of this simple quadratic equation you may use the symbolic "solve" command, or, if all other variables are already numerically defined, the numerical "root" command in one of its two flavours or a numeric solve block with "find".
The numeric methods will only give you one of the two solutions depending on a guess value or you may control the outcome by additional constraints like "x>10".
Whatever method you chose, you can always assign the result to a variable by simple prepending the expression by an normal assignment ("variable name : = ...")
You may decide to attach you worksheet for further help - I am too lazy to retype what you already did and I don't know the value of the other variables.
To get the two solutions of this simple quadratic equation you may use the symbolic "solve" command, or, if all other variables are already numerically defined, the numerical "root" command in one of its two flavours or a numeric solve block with "find".
The numeric methods will only give you one of the two solutions depending on a guess value or you may control the outcome by additional constraints like "x>10".
Whatever method you chose, you can always assign the result to a variable by simple prepending the expression by an normal assignment ("variable name : = ...")
You may decide to attach you worksheet for further help - I am too lazy to retype what you already did and I don't know the value of the other variables.
