1-Visitor
February 3, 2021
Solved
Solving nonlinear system
- February 3, 2021
- 1 reply
- 2512 views
Hello, dear Mathcad community!
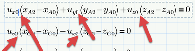
A am working on a suspension kinematics problem and I am trying to solve the nonlinear system of 18 equations with 18 unknowns. I have tried to solve it using the solve block, but I have an error that underlines the whole Find(...) function and says: "This value must be a function".
Can you please help me to figure out the problem? I am kind of new to Mathcad and I was trying to do everything like in tutorials 😃


