Community Tip - Did you get an answer that solved your problem? Please mark it as an Accepted Solution so others with the same problem can find the answer easily. X
Hi,
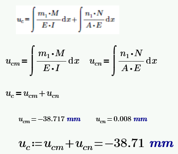
I'd like to split the numeric solution of my equation to show the influence of the two factors without having the define new variables. I need to keep it as simple has possible. See p.7
For exemple ;
uc = 3 + 0.5 (where 3 is the section a and 0.5 the section b)
uc = 3.5
Thank you !
Camille
Solved! Go to Solution.
Im afraid that's not possible.
With the symbolic processor you can collect expressions on certain items. Consider e.g.:
You can do the following:
But the numeric processor does not have this capability.
Now you might try to use the symbolic processor to get the numeric answer by using the 'explicit' keyword. But I doubt that you can achieve the desired result, mostly because it is very hard to force the symbolic processor in its output. Not also that the symbolic processor generally does not handle Units the way the numeric processor does, or the way you might hope it does.
I think defining two variables, or function to hold the two expression parts is the best option to keep them separated.
Success!
Luc
Im afraid that's not possible.
With the symbolic processor you can collect expressions on certain items. Consider e.g.:
You can do the following:
But the numeric processor does not have this capability.
Now you might try to use the symbolic processor to get the numeric answer by using the 'explicit' keyword. But I doubt that you can achieve the desired result, mostly because it is very hard to force the symbolic processor in its output. Not also that the symbolic processor generally does not handle Units the way the numeric processor does, or the way you might hope it does.
I think defining two variables, or function to hold the two expression parts is the best option to keep them separated.
Success!
Luc
I see.
Thank you !!
Camille
Best you might do:
Yeah. that is very clear ! I'll go with this proposition.
Thank you
Another Mathcaddy way of doing things - return the values as components of a vector ...
Stuart
Great idea. Note that you don't need to transpose the vector:
Success!
Luc
