Community Tip - Did you get an answer that solved your problem? Please mark it as an Accepted Solution so others with the same problem can find the answer easily. X
Книга "Физико-математические этюды с Mathcad и Интернет"
Цветные рисунки, анимации и файлы этюда 13
ПУТЕШЕСТВИЕ ОКРУЖНОСТИ В ТРЕУГОЛЬНИКЕ, А ТРЕУГОЛЬНИКА В ЛОЖБИНЕ, ИЛИ САМ СЕБЕ КОМПЬЮТЕРНЫЙ РЕЖИССЕР
The book "Physical and Mathematical Studies with Mathcad and Internet"
Color drawings, animations and files of the study 13
THE ROUTE OF THE ENVIRONMENT IN THE TRIANGLE, AND THE TRIANGLE IN THE hollow, OR THE SELF COMPUTER DIRECTOR
Рис. 13.1 Задача об окружности, вписанной в треугольник
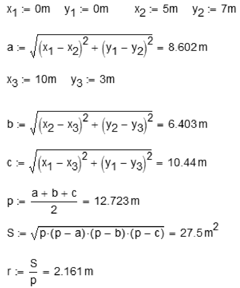
Рис. 13.2 Расчет в среде Mathcad радиуса окружности, вписанной в треугольник
Рис. 13.3 Аналитическое решение задачи об окружности, вписанной в треугольник
Рис. 13.4 Численное решение задачи об окружности, вписанной в треугольник
Рис. 13.6-12 Траектория движения центра окружности в треугольник
Рис. 13.13 Инструменты вывода промежуточных результатов численного поиска решения
Figure 13.14a from the book
25 Problems for STEM Education
Color map of guess values areas of roots of the system of two equations (see above)
Thanks to Alan Stevens for help with the translation this Study into English!
Mathcad-sheets (15 and Prime 6.0) of the Fig. 13.4 in attach
