Community Tip - Did you get an answer that solved your problem? Please mark it as an Accepted Solution so others with the same problem can find the answer easily. X
Hi, something strange with summation operator
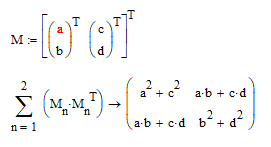
I must get 2x2 matrix
In Prime 6 Express using numerics (attached):
Must be either the way you wrote it
what do the { } brackets mean, or
the symbolic processor can't sort it out
Looks like a bug in the symbolic processor in conjunction with the summation symbol.
Numerically all is OK
Doing it symbolically without the summation symbol is doing OK, too
Looks like when using the summation that the symbolic confuses v*v^T with v^T*v
Looks like when using the summation that the symbolic confuses v*v^T with v^T*v
When you thought it can't get worse, then PTC came and gave us Prime 6 with new symbolic!
Primes new symbolic doesn't even bother to evaluate the expression and fails with a silly meaningless error message:
