Community Tip - When posting, your subject should be specific and summarize your question. Here are some additional tips on asking a great question. X
I've got a symbolic equation using the gamma symbol. It seems that after performing a symbolic solve gamma is now one of the built in predefined constants - in this case Euler-Mascheroni's constant, Is there a way to override this? The gamma symbol is commonly defined in many other ways.
Solved! Go to Solution.
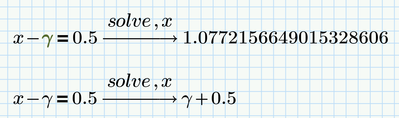
When you type in your equation and you type gamma, Prime assumes you mean the Euler-Mascheroni-constant and labels it as being constant.
You will have to re-label it as "Variable" to overcome this.
If you look closely you can see that its labeled as "Constant" as it gets set in bold face and in a dark green color (at least thats the default - you can change the look of the various labels if you like).
When you type in your equation and you type gamma, Prime assumes you mean the Euler-Mascheroni-constant and labels it as being constant.
You will have to re-label it as "Variable" to overcome this.
If you look closely you can see that its labeled as "Constant" as it gets set in bold face and in a dark green color (at least thats the default - you can change the look of the various labels if you like).
Thank you so much!
