Community Tip - You can change your system assigned username to something more personal in your community settings. X
Hello!
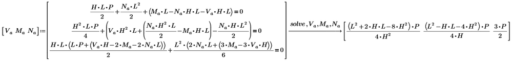
I want to solve three equations symbolically to check tabulated data. How can this be done? Should I use a solve block or are there any other techniques?
Please, take a look at the attached Mathcad Prime 6 sheet.
Best regards,
Sergey
Solved! Go to Solution.
Prime does not support symbolic solutions of solve-blocks, as far as I'm aware. (It's one of those things where Mathcad 15 and before are far better).
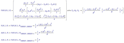
But you can solve the system symbolically by setting them in a (3-element) vector and solve that symbolically.
Here's a Mathcad 11 implementation.
You should be able to do the same in Prime.
Success!
Luc
Thanks Luc.
Thanks a lot
